Líderes políticos y astrología. Por Sergio Rivillo.

¿En qué casas astrológicas tienen los planetas los líderes políticos? ¿Y los regentes de las casas? Hoy comparto un riguroso trabajo del astrólogo Sergio Rivillo (sergio.rivillo@gmail.com) titulado «La Técnica de los Regentes en la Caracterización Planetaria de los Líderes Políticos» y que presentó en el pasado Congreso Ibérico de Astrología en Málaga. Este trabajo supone una importante ampliación respecto al que elaboró para el 29º Congreso Ibérico.

Os dejo tanto la conferencia en vídeo como el escrito correspondiente por si queréis hacer una lectura atenta. En esta investigación Sergio hace un ejercicio de estadística descriptiva la cual es ideal para explorar lo que hay. Es el ejercicio de alguien curioso, abierto y humilde, a la vez que riguroso y crítico. Además, para hacerlo más interesante aún Sergio va haciendo reflexiones desde la teoría astrológica (tradicional) y va comparando lo constatado con lo esperado.

La Técnica de los Regentes en la Caracterización Planetaria de los Líderes Políticos

2ª ampliación del trabajo expuesto en el 27 Congreso Ibérico de Astrología (Estoril-2010)

Sergio Rivillo

Las mayores incidencias en los muestreos más significativos se dan con los 7 planetas clásicos, especialmente si se consideran como regentes únicos de las casas. 

Si no hubiese influjo planetario ninguno, la incidencia de los 7 planetas visibles en cada una de las 12 casas astrológicas, considerando que éstas abarcan signos enteros en la cúspide (posición por casa indudable) sería prácticamente igual, ya sea considerando al planeta en sí, sino también como Regente. Pues bien, en un muestreo de 240 casos NO es así. Incluso se han remarcado las tendencias ya observadas cuando el muestreo era de sólo 100 casos, y muy especialmente cuando hemos substituido los registros menos fiables por otros de fiabilidad AA de Rodden, aunque fueran personajes menos conocidos.

En este nuevo trabajo se han modificado las siguientes consideraciones:

1.-Dejaremos de considerar los planetas transaturnianos no visibles (Urano, Neptuno, Plutón, Eris), que daban pocas desviaciones en el estudio anterior y no se pueden considerar como regentes únicos. Probablemente actúen en colaboración con otros planetas, o bien den indicaciones sobre el tipo de líder según la época (ciclo larguísimo), más que sobre la relevancia, o por otros motivos; la modificación tiene ánimo de simplificación en el cómputo y para evitar «ruido estadístico». No hace falta decir que utilizar aquí asteroides, o Partes arábigas, o Términos, o Triplicidades haría el trabajo incomprobable por farragoso, como seguramente tampoco lo comprobaron aquellos que crearon tan complicadas fórmulas, complicadas de comprobar. 

2.-Precisamente porque el estudio incluye a los planetas considerados como regentes, consideraremos los planetas en una casa por estar situados en el signo que está en la cúspide de la casa, bajo el dominio del planeta regente de la casa (sistema clásico). Se elimina de esta manera toda posición dudosa (por orbes, etc.) de un planeta en una casa u otra, sin considerar  el regente del signo interceptado en una casa por no haber cúspide, en tanto que los eclipsados tendrán un mismo regente para dos casas. Esto supone otra simplificación y objetivación en el cómputo.

3.-Ampliamos el estudio con nuevos datos, que antes se referían a 100 líderes políticos y ahora 240. El muestreo va siendo cada vez más significativo.

4.-Hemos eliminado los registros menos fiables, aquellos que aún siendo fiables situaban el AS en los primeros o últimos 3º del signo (error de 15 minutos aprox. en la hora de nacimiento, perfectamente posible en los registros más fiables).

5.-El 95% aprox. de los casos son Presidentes de Gobierno, Primeros Ministros y máximos mandatarios. Tan sólo hemos considerado otros personajes por su valor de liderazgo ideológico; y hemos rechazado tb. aquellos casos inclasificables en los que alguien llega a presidente de Gobierno de manera muy indirecta o de manera muy efímera o irrelevante por el motivo que sea. Todos los registros son de fiabilidad A y AA de Rodden, más unos pocos a cuyo certificado de nacimiento hemos tenido acceso. La mayoría de los registros del archivo Heads of State de Astrodatabank constan aquí, una vez descontados los menos fiables y con AS al límite del signo. 

1.-Hipótesis de trabajo

Si hay un efecto astrológico diferenciado de los diferentes planetas en la práctica de la política, éste debe presentar desviaciones en el sentido de una mayor incidencia en las casas que más claramente se puedan relacionar con la práctica del liderazgo político.

En un principio, antes de iniciar este trabajo, ya pensábamos que, al menos en teoría, un líder debe tener muy marcada la C1; y también la C9, cuando haya una mayor relevancia ideológica o legal. Se han confirmado nuestras sospechas iniciales, pero han aparecido otras desviaciones que tienen mucha lógica según la teoría astrológica y que no esperábamos. 

Es decir, el propio sistema en el que incluimos a los planetas, el “constructo astrológico”, debe manifestar desviaciones importantes y significativas en la incidencia por casas (y eventualmente, signos, aspectos, etc.), considerando los 7 planetas clásicos, tanto por su analogía simbólica, como por su presencia y regencia en las casas. 

2.-Alcance del experimento

Este experimento no puede por sí mismo demostrar la validez de la astrología, ni lo pretende, aunque sería muy difícil justificar estos resultados a la luz de otro saber humano. Tan sólo pretende hallar indicios que puedan orientar la investigación de conceptos y mecanismos muy desconocidos hoy en día, tanto dentro como fuera de la astrología.

Puede suponer un fuerte indicio de la relevancia de considerar la regencia de los planetas, concepto hoy en día aún muy abandonado y que puede aportar luz en los criterios de interpretación a menudo confusos. A menudo se interpreta por la analogía simbológica y la presencia en una casa o los aspectos de un planeta, pero se ignora la regencia de éste, como si uno no tuviera ninguna experiencia en una casa donde no hay ningún planeta.

Los REGENTES, considerando su dignidad, posición por signo, casa y aspectos, tienen un valor sustantivo, y aportan información sobre la capacidad de logro, la causa-efecto, con quién tiendes a entrar en conflicto, quién te domina o a quién dominas

3.-Muestreo y fuentes de datos

Estudiaremos el posible efecto de los planetas clásicos en las cartas natales de líderes políticos famosos, la mayoría nacidos a partir de 1750, la mayoría procedentes de la base de datos de astro.com/astro-databank/; excluyendo los casos de hora de nacimiento desconocida o poco fiable. La mayoría de los datos son de fiabilidad AA de Rodden, y hemos considerado alguno de fiabilidad A cuando se trata de personajes con un Ascendente indudable, casos ya muy contrastados, también por el aspecto físico. El muestreo considera los siguientes 240 personajes:

Abascal,Santiago; Abbot,Anthony; Acker,AchilleVan; Adenauer,Konrad ; Alcalá-Zamora,Niceto ; Alessandri,Jorge ; Alfonsín,Raúl ; Allende,Salvador ; Aquino,BenignoJr ; Aquino,Corazón; ; Aylwin,Patricio; Aznar,JM ; Bachelet,M ; Balaguer,Joaquín ; Balladur,Edouard ; Barre,Raymond ; Bech,Joseph; Beck,Kurt; BelaundeTerry,Fernando; Berlinger,Enrico; Berlusconi,Silvio; Betancourt,Ingrid; Bierut,Boleslaw; Bismarck; Blair,Toni; Blum,Leon; Boeynant,PaulVanden; Bolsonaro,Jair; Botha,Pieter; Bourassa,Robert; Bourguiba,Habib; Brandt,Willy; Briand,Aristide; Brouckere,HenriDe; Brown,Gordon; Brundtland,GroHarlem; Burton,John; Bush,GeorgeH.W.; Bush,GeorgeW.; CalderónGuardia,Rafaél; Calvo-Sotelo,L.; Cameron,David; CarazoOdio,Rodrigo; Cárdenas,Lázaro; Carter,JamesE.; CartonDeWiart,Henry; Casimir-Perier,Jean; Castelar,Emilio; Castillo,JorgeDel; Ceaucescu,Nicolae; Chirac,Jacques; Chretien,Jean; Ciampi,Carlo; Clark,Joe; Clinton,Bill; Cohn-Bendit,Daniel; Cook,Robert; Corbett,Robin; Correa,Rafael; Cossiga,Francesco; Costa,Afonso; Daladier,Edouard; DaninoZapata,Roberto; Dávila,Carlos; Debré,Michel; DeGasperi,Alcide; deGaulle,Charles; DeLaMadridHurtado,Miguel; DeLaRúa,Fernando; Delors,Jacques; DeNicola,Enrico; DeQuay,Jan; Deschanel,Paul; DíazOrdaz,Gustavo; DiMaio,Luigi; Disraeli,Benjamin; Douglas-Home,Alec; Drees,Willem; Duarte,Eva; Duhalde,Alfredo; Duhalde,Eduardo; DuncanSmith,Iain; Dupong,Pierre; Duvalier,Francois; Eanes,Ramalho; Ebert,Friedrich; EchandiJiménez,Mario; Eden,Anthony; Eisner,Kurt; EnriqueVIIIReyIng; EsquivelSáenz,Aniceto; Estrada,Joseph; Eyschen,Paul; Fabius,Laurent; Faure,Felix; FernandoIIDeAragon; FigueresFerrer,José Ford,Gerald; Fraga,Manuel; Franco,Francisco; Franco,Itamar; Fraser,Peter; FreiMontalva,Eduardo; Frieden,Pierre; Fujimori,Alberto; Gandhi,Indira; Gandhi,Rajiv; García,Alan; Garibaldi,GiuseppeM; GiscardD’Estaing,Valerie; Giuliani,Rudy; Goebbels,Joseph; Gomes,FranciscoDaCosta; GonzálezVidela,Gabriel; Gore,Al; Göring,Hermann; Grillo,Beppe; Gronchi,Giovanni; Guaidó,Juan; Guerra,Alfonso; Halonen,Tarja; Harmel,Pierre; Heemskerk,Jan; Heemskerk,Theo; Hitler,Adolf; Holkeri,Harri; Hollande,Francoise; Iglesias,Pablo; Jaruzelsky,Wojciech; Johnson,Boris; Johnson,LyndonB.; Junqueras,Oriol; Kennedy,JohnF.; Kerry,John; Khasbulatov,Ruslan; King,MartínLuther; Kirchner,CristinaDe; Kirchner,Nestor; Kissinger,Henry; Kohl,Helmut; Kwasniewsky,Alexander; LaCalle,LuisAlberto; Lagos,Ricardo; LagosCházaro,Francisco; Lebrun,Albert; Leone,Giovanni; LePen,JeanMarie; LePen,Marine; Lincoln,Abraham; LindleyLópez,Nicholas; López,JoaquínMaría; LópezContreras,Eleazar; LópezObrador,AM; LópezPortillo,José Loubet,Emille; Lübke,Heinrich; LulaDaSilva,L.I.; Lusinchi,Jaime; Mackay,Aeneas; MacMahon,PatriceMaurice; Madero,FranciscoI; Magsaysay,Ramón; Malachowski,Stanislaw; Mandela,Nelson; Mattarella,Sergio; McDonald,Ramsey; MedinaAngarita,Isaias; MendèsFrance,Pierre; Miller,Leszek; Millerand,Alexandre; Mitterrand,F.; MongeÁlvarez,LuisAlberto; Monti,Mario; Morales,Evo; Mulroney,Brian; Mussolini,Benito; Napolitano,Giorgio; Negrín,Juan; Nehru,Jawaharlal; Neves,Tancredo; Nixon,Richard; Obama,BarakH.; OduberQuirós,Daniel; Orban,Viktor; Painlevé,Paul; Paksas,Rolandas; Palme,Olof; Paniagua,Valentín; PassosCoello,Pedro; Pavan,Mario; Pella,Giuseppe; Perón,JuanDomingo; Pétain,Philippe; Philippe,Èdouard; Pinochet,Augusto; Piñera,Sebastian; Poincare,Raymond; Pompidou,;Georges; PrimIPrats,Juan; PrimoDeRivera,Miguel; Prodi,Romano; Puigdemont,Carles; Pujol,Jordi; Rajoy,Mariano; Robespierre,Maximilien; Rod.-Zapatero,JL; Roosevelt,Franklin;D.; Ruiz-Gallardón,A.; Sagasta,PráxedesMateo; Salmond,Alexander; Salvini,Matteo; Sánchez,Pedro; Sarkozy,Nicolas; Sarney,José Scalfaro,OscaLuigi; Schroeder,Gerhard; Schwarzeneg.,A.; Poullet,Prosper; Smith,IanDouglas; Soares,Mario; PradoUgarteche,Manuel; Spencer,Perceval; Sturgeon,Nicola; ReinaIdiáquez,CarlosRoberto; Thatcher,Margaret; Trudeau,Justin; Trudeau,Pierre; Truman,Harry; Tsipras,Alexis; Valls,Manuel; VanDerLinden,PieterCort; Varadkar,Leo; VonPapen,Franz; Prüm,Pierre; Washington,George; Weinberger,Caspar; Wilson,Harold; Worme,ElieAndré Wyninckx,Jef; Yanukovych,Viktor.

4.-Naturaleza del muestreo: significancia y limitaciones

He escogido el sector de los líderes políticos por tratarse de el colectivo más numeroso dentro de los datos disponibles. Un muestreo escaso es la principal limitación de experimentos de este tipo. Podríamos haber seleccionado jueces, abogados, etc., pero el número de datos disponibles es mucho menor.

En estudios sociológicos se suelen considerar aceptables los errores muestrales de un 10% como máximo. Esto quiere decir que un dato de, pongamos, 15 de cada 100 individuos, puede estar representando un valor real comprendido entre 13,5 y 16,5 de cada 100 individuos (si el muestreo incluyera a todos los líderes políticos) –ver anexo al final de este trabajo. 

Desviación Estándar

Hemos introducido la Desviación Estándar (respecto del Valor Medio) como medida de valoración y análisis de los resultados.

Una incidencia que se sitúe entre +/-Sigma se la supone IRRELEVANTE, o fruto del azar.

Una incidencia que se sitúe por encima o por debajo de +/-Sigma se supone que es un INDICIO de relevancia.

Una incidencia superior a 2Sigma (o inferior a -2Sigma) CONFIRMA un efecto diferenciado relevante si es conocido, o bien DENUNCIA un factor que NO se debe al azar.

En nuestro muestreo hemos incluido, por orden del número de datos considerados:

-Presidentes de gobierno y primeros ministros de países (la mayoría de los datos).

Hemos considerado también una decena de datos de:

-Presidentes regionales y de grandes partidos políticos, ministros y alcaldes de grandes ciudades.

-Otros líderes políticos e ideológicos importantes, aunque no hayan llegado a presidir un país.

Hemos eliminado los registros de reyes. En general el puesto de rey es debido a una herencia, no tanto a algo elegido personalmente y con dedicación muy variable. Aunque habíamos considerado unos pocos que sí tenían una gran dedicación y protagonismo político, como Fernando de Aragón, Enrique VIII o Solimán el Magnífico, por fiabilidad y otros motivos sólo hemos mantenido a Fernando de Aragón, que no por casualidad inspiró el personaje de El Príncipe, de Maquiavelo.

No se trata de políticos medianos, simples diputados o alcaldes, o con dedicación secundaria a la política, sino de personajes con relevancia política histórica mundial o liderazgo indudable, todos ellos bien conocidos en el ámbito europeo parlante. Es decir, casos paradigmáticos o especialmente ejemplares, lo cual hace más significativo el muestreo y puede compensar en buena medida lo escaso del mismo, que es la principal limitación del experimento. Si añadiéramos otros muchos más casos probablemente no serían tan relevantes como líderes políticos; de hecho los resultados con los primeros 100 casos estudiados ya apuntaban en el mismo sentido. Pero siempre sería más significativo estadísticamente hablando, por supuesto.

5.-Resultados

Obtenemos los siguientes DATOS del muestreo considerado: 

Planetas en las casas

NPersonaje/casaSolLunMerVenMarJúpSatASSol
1Abascal,Santiago10411101111CANARI
2Abbot,Anthony2723113LIBESC
3Acker,AchilleVan7399613LIBARI
4Adenauer,Konrad11111121812PISCAP
5Alcalá-Zamora,Niceto111122969CANCAN
6Alessandri,Jorge3643169PISTAU
7Alfonsín,Raúl9129101185LEOPIS
8Allende,Salvador4344451ARICAN
9Aquino,BenignoJr5453227LEOSAG
10Aquino,Corazón3222993SAGACU
11Aylwin,Patricio8588934TAUSAG
12Aznar,JM1612238ACUPIS
13Bachelet,M54443115GEMLIB
14Balaguer,Joaquín611575412ARIVIR
15Balladur,Edouard10710912106LEOTAU
16Barre,Raymond14231097ARIARI
17Bech,Joseph54666210LIBACU
18Beck,Kurt6965651VIRACU
19BelaundeTerry,Fernando11212139LIBLIB
20Berlinger,Enrico3233977ARIGEM
21Berlusconi,Silvio16121236LIBLIB
22Betancourt,Ingrid94989109TAUCAP
23Bierut,Boleslaw961011692LEOARI
24Bismarck106910747LEOARI
25Blair,Toni121112121126GEMTAU
26Blum,Leon10111191017CANARI
27Boeynant,PaulVanden8379799ESCGEM
28Bolsonaro,Jair98881014CANARI
29Botha,Pieter1121212615PISCAP
30Bourassa,Robert12911327LEOCAN
31Bourguiba,Habib1512387LEOLEO
32Brandt,Willy96995113ARISAG
33Briand,Aristide11101010744CANARI
34Brouckere,HenriDe1019111234GEMACU
35Brown,Gordon126121212127ARIPIS
36Brundtland,GroHarlem2322122CAPARI
37Burton,John41143116VIRSAG
38Bush,GeorgeH.W.102911642VIRGEM
39Bush,GeorgeW.124123412LEOCAN
40CalderónGuardia,Rafaél61078634LIBPIS
41Calvo-Sotelo,L.2321119ACUARI
42Cameron,David2113111116LIBLIB
43CarazoOdio,Rodrigo4134853LIBCAP
44Cárdenas,Lázaro119111212124LEOGEM
45Carter,JamesE.1221110432LIBLIB
46CartonDeWiart,Henry63651294VIRACU
47Casimir-Perier,Jean11211684ESCESC
48Castelar,Emilio5105512115GEMVIR
49Castillo,JorgeDel949812511ESCCAN
50Ceaucescu,Nicolae106910614GEMACU
51Chirac,Jacques1010109771ACUSAG
52Chretien,Jean31344124ESCCAP
53Ciampi,Carlo5546722LEOSAG
54Clark,Joe105109688VIRGEM
55Clinton,Bill1181111111LIBLEO
56Cohn-Bendit,Daniel747861210LIBARI
57Cook,Robert11211575PISPIS
58Corbett,Robin31429119LIBSAG
59Correa,Rafael3832731ACUARI
60Cossiga,Francesco1231112994VIRLEO
61Costa,Afonso61257194LIBPIS
62Daladier,Edouard12111223412CANGEM
63DaninoZapata,Roberto12101211127ARIPIS
64Dávila,Carlos2122131LEOVIR
65Debré,Michel4343838LIBCAP
66DeGasperi,Alcide2413122ACUARI
67deGaulle,Charles26334411LIBESC
68DeLaMadridHurtado,Miguel6966458CANSAG
69DeLaRúa,Fernando7117610112PISVIR
70Delors,Jacques101011111182LIBCAN
71DeNicola,Enrico686811811GEMESC
72DeQuay,Jan8189911CAPVIR
73Deschanel,Paul108111111101GEMACU
74DíazOrdaz,Gustavo38341115CAPPIS
75DiMaio,Luigi8888231SAGCAN
76Disraeli,Benjamin29219111ESCSAG
77Douglas-Home,Alec123111387LEOCAN
78Drees,Willem91110812129ESCCAN
79Duarte,Eva2413234ARITAU
80Duhalde,Alfredo14121035CANCAN
81Duhalde,Eduardo7188132ARILIB
82DuncanSmith,Iain6957281ESCARI
83Dupong,Pierre97910775ACUESC
84Duvalier,Francois101199719CANARI
85Eanes,Ramalho9510105610GEMACU
86Ebert,Friedrich104910618GEMACU
87EchandiJiménez,Mario1221121191CANGEM
88Eden,Anthony1141010134LEOGEM
89Eisner,Kurt510548311SAGTAU
90EnriqueVIIIReyIng11912102106VIRCAN
91EsquivelSáenz,Aniceto31143864ACUARI
92Estrada,Joseph81298457VIRARI
93Eyschen,Paul31131555LEOVIR
94Fabius,Laurent1191111211LIBLEO
95Faure,Felix5856133LIBACU
96FernandoIIDeAragon11611118105GEMPIS
97FigueresFerrer,José811896412ARIESC
98Ford,Gerald4852192TAUCAN
99Fraga,Manuel6966965CANSAG
100Franco,Francisco41043782VIRSAG
101Franco,Itamar210112311GEMCAN
102Fraser,Peter11212912108ESCVIR
103FreiMontalva,Eduardo12712111103ACUCAP
104Frieden,Pierre131114612ESCESC
105Fujimori,Alberto445541112TAULEO
106Gandhi,Indira46562111LEOESC
107Gandhi,Rajiv121111111VIRLEO
108García,Alan1081010971LEOGEM
109Garibaldi,GiuseppeM11222385CANCAN
110GiscardD’Estaing,Valerie5155352LIBACU
111Giuliani,Rudy101199111110VIRGEM
112Goebbels,Joseph5554546LEOESC
113Gomes,FranciscoDaCosta6867715ACUCAN
114GonzálezVidela,Gabriel263211122ESCSAG
115Gore,Al106911151LEOARI
116Göring,Hermann212225511ESCCAP
117Grillo,Beppe3921674GEMCAN
118Gronchi,Giovanni1081011919ESCVIR
119Guaidó,Juan11611121031LIBLEO
120Guerra,Alfonso4245533PISGEM
121Halonen,Tarja646411111LEOCAP
122Harmel,Pierre6167528LIBPIS
123Heemskerk,Jan1211121157VIRLEO
124Heemskerk,Theo1221123410LEOCAN
125Hitler,Adolf83788310LIBTAU
126Holkeri,Harri211231123SAGCAP
127Hollande,Francoise4946836GEMLEO
128Iglesias,Pablo182221011LIBLIB
129Jaruzelsky,Wojciech6255698ACUCAN
130Johnson,Boris9299986LIBGEM
131Johnson,LyndonB.111111129VIRVIR
132Junqueras,Oriol42441294SAGARI
133Kennedy,JohnF.1241219410LEOCAN
134Kerry,John17211797SAGSAG
135Khasbulatov,Ruslan1712198ESCESC
136King,MartínLuther10111111218TAUCAP
137Kirchner,CristinaDe11111121216TAUPIS
138Kirchner,Nestor10199594GEMPIS
139Kissinger,Henry15112165GEMGEM
140Kohl,Helmut121112310ARIARI
141Kwasniewsky,Alexander5255915CANESC
142LaCalle,LuisAlberto311341221TAUCAN
143Lagos,Ricardo11112122PISPIS
144LagosCházaro,Francisco56445810CANLIB
145Lebrun,Albert9210101182SAGVIR
146Leone,Giovanni4732329LEOESC
147LePen,JeanMarie24321218TAUGEM
148LePen,Marine114111110127LIBLEO
149Lincoln,Abraham112128110ACUACU
150LindleyLópez,Nicholas211211127LIBESC
151López,JoaquínMaría1421281012LEOLEO
152LópezContreras,Eleazar981088119VIRTAU
153LópezObrador,AM36332103VIRESC
154LópezPortillo,José1212112534CANGEM
155Loubet,Emille7177456CANCAP
156Lübke,Heinrich28328112VIRLIB
157LulaDaSilva,L.I.5554252GEMLIB
158Lusinchi,Jaime413512108PISGEM
159Mackay,Aeneas51055245LEOSAG
160MacMahon,PatriceMaurice10611101073VIRGEM
161Madero,FranciscoI102109181CAPESC
162Magsaysay,Ramón31223729CANVIR
163Malachowski,Stanislaw6125612112TAUVIR
164Mandela,Nelson812971189SAGCAN
165Mattarella,Sergio11101011798LIBLEO
166McDonald,Ramsey45451265LEOLIB
167MedinaAngarita,Isaias6863789ACUCAN
168MendèsFrance,Pierre1191098412ARICAP
169Miller,Leszek4666675ARICAN
170Millerand,Alexandre696581012VIRACU
171Mitterrand,F.321123911LIBESC
172MongeÁlvarez,LuisAlberto93810897TAUCAP
173Monti,Mario1712154ACUPIS
174Morales,Evo11811911121CAPESC
175Mulroney,Brian4553245ESCPIS
176Mussolini,Benito9899898ESCLEO
177Napolitano,Giorgio1411275CANCAN
178Negrín,Juan28231239CAPACU
179Nehru,Jawaharlal4143362LEOESC
180Neves,Tancredo21111493ACUPIS
181Nixon,Richard5657459VIRCAP
182Obama,BarakH.75768112ACULEO
183OduberQuirós,Daniel10610891010SAGVIR
184Orban,Viktor912881175LIBGEM
185Painlevé,Paul2122121112ESCSAG
186Paksas,Rolandas13131156GEMGEM
187Palme,Olof21225212SAGACU
188Paniagua,Valentín1111111914SAGLIB
189PassosCoello,Pedro114119986LIBLEO
190Pavan,Mario232241112VIRLIB
191Pella,Giuseppe1611211211ARIARI
192Perón,JuanDomingo115111011911CAPLIB
193Pétain,Philippe51541037SAGTAU
194Philippe,Èdouard11211110126SAGSAG
195Pinochet,Augusto72673102GEMSAG
196Piñera,Sebastian161311412SAGSAG
197Poincare,Raymond7977177CAPLEO
198Pompidou, Georges1231219126ARIPIS
199PrimIPrats,Juan3123214LIBSAG
200PrimoDeRivera,Miguel3434372ESCCAP
201Prodi,Romano8688134CAPLEO
202Puigdemont,Carles56531276VIRCAP
203Pujol,Jordi38252310ARIGEM
204Rajoy,Mariano11121091226VIRARI
205Robespierre,Maximilien32427101ACUTAU
206Rod.-Zapatero,JL161221156LEOLEO
207Roosevelt,Franklin D.611661099VIRACU
208Ruiz-Gallardón,A.11116121SAGSAG
209Sagasta,PráxedesMateo12411112111LEOCAN
210Salmond,Alexander710751015CANCAP
211Salvini,Matteo5755348ESCPIS
212Sánchez,Pedro1261212192TAUPIS
213Sarkozy,Nicolas58548103VIRACU
214Sarney,José111111129TAUTAU
215Scalfaro,OscaLuigi122121131011LIBVIR
216Schroeder,Gerhard612759108ESCARI
217Schwarzeneg.,A.26111252CANLEO
218Poullet,Prosper101101110106CANPIS
219Smith,IanDouglas59565810SAGARI
220Soares,Mario612761066CANSAG
221PradoUgarteche,Manuel95899512VIRTAU
222Spencer,Perceval1722376ESCESC
223Sturgeon,Nicola94101110127ESCCAN
224ReinaIdiáquez,CarlosRoberto121211110118ARIPIS
225Thatcher,Margaret1291221131ESCLIB
226Trudeau,Justin59468410VIRCAP
227Trudeau,Pierre111212121112LIBLIB
228Truman,Harry8291011109LIBTAU
229Tsipras,Alexis46225112GEMLEO
230Valls,Manuel71278411ACULEO
231VanDerLinden,PieterCort6244863SAGTAU
232Varadkar,Leo2921289SAGCAP
233VonPapen,Franz8287211PISESC
234Prüm,Pierre15212541CANCAN
235Washington,George11911117612TAUPIS
236Weinberger,Caspar8999868SAGLEO
237Wilson,Harold111210123111CANPIS
238Worme,ElieAndré76787115LIBARI
239Wyninckx,Jef69647612ACUCAN
240Yanukovych,Viktor1081091612LIBCAN

Signos

Los signos astrológicos describen modos de acción, estilos personales, que pueden ser distintos si comparamos un político con otro. Uno Libra podría ser más diplomático y uno Aries podría mostrar una gran agudeza, pero no hay un signo solar que predisponga mucho más que otros al ejercicio del liderazgo político, como se ha hecho en otros trabajos, a menudo para desprestigiar la astrología. 

 ARITAUGEMCANLEOVIRLIBESCSAGCAPACUPIS
AS1713192428263622199189
Sol251320292214162021201723

Además, la probabilidad de que un planeta se encuentre en un signo u otro puede variar mucho en el caso de Venus, por ejemplo, que se encuentra en fase con la Tierra:

En el caso del Sol las desviaciones son pequeñas, acaso el Sol en Cáncer sí muestra algún indicio de relevancia, con una incidencia claramente superior a Sigma:

En el caso del signo en el AS, como hay signos de ascensión lenta y otros de ascensión rápida, y una mayoría de datos procedentes del Hemisferio Norte, NO podemos deducir un efecto astrológico de la siguiente gráfica porque la probabilidad de tener AS Libra viene a ser el doble que tener AS Aries (en el HN), es decir, que la Desviación Estandar de la siguiente gráfica NO debería tener una distribución lineal:

Casas

Sin embargo, la probabilidad de tener un planeta en una casa u otra es exactamente la misma si NO consideramos el signo. Hemos obtenido estos datos:

CASAC1C2C3C4C5C6C7C8C9C10C11C12
Sol322318182021111217242222
Luna252315251429102221122321
Mercurio352816182415131121212216
Venus253123171615111823172321
Marte351919131617182021162224
Júpiter311528181915142022202018
Saturno262414232321191822141620
TOTAL20916313313213213396121147124148142

En general observamos una tendencia a acumular planetas en el signo AS (más de 2Sigma), lo cual encaja con la tradición astrológica de atribuir el liderazgo a la C1. Más llamativo es que la casa opuesta (C7, la tendencia a depender del otro) quede con una incidencia próxima a -2Sigma.

Lo cual indica que si hubiésemos seleccionado el muestreo de manera engañosa hacia una prevalencia de los planetas en C1, los demás habrían incidido por igual en el resto de las casas, y no habríamos obtenido esa incidencia negativa de la casa opuesta, casualmente con un significado astrológico opuesto.

También muestran una desviación superior a 2Sigma el Sol y, lógicamente, Mercurio, que nunca se separa más de 28º del Sol. Es un aforismo clásico de autonomía y liderazgo tener el Sol en el signo ascendente.

La Luna y Venus, planetas femeninos –a diferencia de los anteriores- NO muestran esa desviación en el AS porque lógicamente, ser impresionable o ser bello no suele ser lo más importante para ser un líder. 

La Luna muestra una importante desviación positiva en la C6. Probablemente la encontraríamos también en otros profesionales de éxito porque la dedicación a la labor productiva –uno de los significados de Luna en C6- es un factor de éxito indudable. También encontramos una desviación negativa considerable de la Luna en C7, con la lógica de que quien necesita demasiado la atención del otro sería un anti-líder, ya que un líder más bien capta la atención, cosa muy distinta a necesitarla. Paradógicamente, la popularidad que podría indicar la Luna en C10, no parece ser el principal elemento de liderazgo.

Venus sí muestra una desviación positiva en C2 –acaso regalos y donaciones- y negativa en C7, acaso por la devoción hacia el rival que eso supondría.

Con Marte y Júpiter, otros dos planetas masculinos que supuestamente favorecen el liderazgo, también vemos una fortísima desviación en el AS, de 3Sigma y 2Sigma respectivamente. Júpiter también muestra una desviación en C3, que acaso podemos atribuir a sentirse en posesión de la verdad al hacer declaraciones, algo típico de los líderes políticos. 

Como cabía esperar, Saturno muestra una baja incidencia en C3 –inseguridad a la hora de hacer declaraciones, a veces dificultad para expresarse, aunque lo haga con rigor:

Sí parece colaborar en el liderazgo por la incidencia en C1 –decisiones responsables… y también baja en C10, un aforismo de infortuna a la hora de detentar el cargo, pese a la responsabilidad que conlleve.

Regentes en las Casas

Los planetas considerados como REGENTES dan unas desviaciones más definidas y concretas, como veremos a continuación. Desde hace al menos dos siglos se sigue infrautilizando a los planetas considerados como regentes. Esto provoca una falta de concreción en las afirmaciones astrológicas que las hace demasiado literarias y poco comprobables. Recordemos que este es el principal argumento en contra de la astrología, que funcionaba muy bien antes del descubrimiento de Urano, momento a partir del cual comienza a reinar la confusión respecto al significado de los planetas considerados como regentes.

NPersonaje/casaR1R2R3R4R5R6R7R8R9R10R11R12
1Abascal,Santiago4101110111111111011
2Abbot,Anthony311331132722
3Acker,AchilleVan996331669379
4Adenauer,Konrad8121111111111881212
5Alcalá-Zamora,Niceto111122969969212
6Alessandri,Jorge613463431699
7Alfonsín,Raúl999108558811912
8Allende,Salvador444344445115
9Aquino,BenignoJr553227722354
10Aquino,Corazón933922223299
11Aylwin,Patricio885888934439
12Aznar,JM822116122338
13Bachelet,M44544311551134
14Balaguer,Joaquín575116578412124
15Balladur,Edouard1010912106610129107
16Barre,Raymond10324123109779
17Bech,Joseph66210102666456
18Beck,Kurt656511565696
19BelaundeTerry,Fernando2139931211211
20Berlinger,Enrico933233397777
21Berlusconi,Silvio21236631221611
22Betancourt,Ingrid89499891099109
23Bierut,Boleslaw9101169229611106
24Bismarck,OttoVon10991047744796
25Blair,Toni121211111212121266612
26Blum,Leon111011910177110911
27Boeynants,PaulVanden799977973799
28Bolsonaro,Jair89810114410888
29Botha,Pieter16121221112126155
30Bourassa,Robert1211327723119
31Bourguiba,Habib112387783215
32Brandt,Willy5996699511333
33Briand,Aristide101011101044444710
34Brouckere,HenriDe911109113444312
35Brown,Gordon1212126612121212777
36Brundtland,GroHarlem222222321122
37Burton,John4311661134114
38Bush,George H.W.911642246119210
39Bush,George W.12121241212124314
40CalderónGuardia,Rafael8634436871067
41Calvo-Sotelo,L.911223211119
42Cameron,David11116611111111123
43CarazoOdio,Rodrigo485335843143
44Cárdenas,Lázaro111112121244121212119
45Carter,James E.10432344101121110
46CartonDeWiart,Henry66512449912536
47Casimir-Perier,Jean684861111212116
48Castelar,Emilio51010551211555115
49Castillo,JorgeDel1251111512894998
50Ceaucescu,Nicolae96610910144416
51Chirac,Jacques1691010101096711
52Chretien,Jean41244124431334
53Ciampi,Carlo546722227645
54Clark,Joe109688886910510
55Clinton,Bill11111111111181111
56Cohn-Bendit,Daniel8612101012687477
57Cook,Robert71111212157755
58Corbett,Robin29119911924134
59Correa,Rafael137238332731
60Cossiga,Francesco11129944991211312
61Costa,Afonso7194491751265
62Daladier,Edouard1111121224121212342
63DaninoZapata,Roberto111210121211127712
64Davila,Carlos223331132221
65de Gaulle,Charles3441144433633
66Debré,Michel383883834344
67DeGasperi,Alcide213144231222
68DeLaMadridHurtado,Miguel966645885466
69delaRúa,Fernando11106711776101122
70Delors,Jacques11114224111111101011
71DeNicola,Enrico68866118111111811
72DeQuay,Jan119988189911
73Deschanel,Paul1188101111101111011
74DíazOrdaz,Gustavo55111438334111
75DiMaio,Luigi313288888822
76Disraeli,Benjamin9111191192219
77Douglas-Home,Alec121113877831113
78Drees,Willem1212991212810119108
79Duarte,Eva21241122134431
80Duhalde,Alfredo41210335510211
81Duhalde,Eduardo188178813223
82DuncanSmith,Iain281182759657
83Dupong,Pierre57109779107755
84Duvalier,Francoise11109971991799
85Eanes,Ramalho105991056101010610
86Ebert,Friedrich94410910188816
87EchandiJiménez,Mario21211211911911121
88Eden,Anthony11111010344431104
89Eisner,Kurt3113845555483
90EnriqueVIIIReyIng1212102661010210911
91EsquivelSaenz,Aniceto4683411343864
92Estrada,Joseph9845775489128
93Eyschen,Paul3331555555111
94Fabius,Laurent1111111211191111
95Faure,Felix613333165855
96FernandoIIDeAragón1161111118105551011
97FigueresFerrer,José698118896412124
98Ford,Gerald258845192229
99Fraga,Manuel996669555696
100Franco,Francisco4378228734104
101Franco,Itamar110211231771312
102Fraser,Peter1210881012912211129
103FreiMontalva,Eduardo3101111271212111103
104Frieden,Pierre4612126411131111
105Fujimori,Alberto5544554111212114
106Gandhi,Indira45621111112656
107Gandhi,Rajiv111111111111112
108García,Alan10119771171011118
109Garibaldi,GiuseppeM1212238558322
110GiscardD’estaing,Valerie535225355155
111Giuliani,Rudy9911111011111199109
112Goebbels,Joseph555454664545
113Gomes,FraciscoDaCosta577668677115
114GonzálezVidela,Gabriel1112122212233623
115Gore,Al1010911111151116
116Göring,Hermann5511552222225
117Grillo,Beppe299321744476
118Gronchi,Giovanni91919911108101111
119Guaidó,Juan1210311310121161111
120Guerra,Alfonso355424455333
121Halonen,Tarja6664111111111164
122Harmel,Pierre752882576166
123Heemskerk,Jan1211577511121112
124Heemskerk,Theo1211341010441212
125Hitler,Adolf8831038887878
126Holkeri,Harri2321133211231111
127Hollande,Francoise449446336638
128Iglesias,Pablo2211121211222812
129Jaruzelsky,Wojciech865552656998
130Johnson,Boris998668999299
131Johnson,LyndonB.1111199121211111
132Junqueras,Oriol949144424419
133Kennedy,JohnF.988101088981298
134Kerry,John977711112711177
135Khasbulatov,Ruslan198891217112
136King,MartínLuther111111111011218882
137Kirchner,CristinaDe1211111111212166112
138Kirchner,Nestor9110995944959
139Kissinger,Henry1551116555612
140Kohl,Helmut121121112210102
141Kwasniewsky,Alexander255551555195
142LaCalle,LuisAlberto431133412211212
143Lagos,Ricardo12211111121222
144LagosCházaro,Francisco665448101010854
145Lebrun,Albert8281110101021010118
146Leone,Giovanni432329923237
147LePen,JeanMarie2344231218881
148LePen,Marine111012771210111141111
149Lincoln,Abraham108211121281110
150LindleyLópez,Nicholas111277121121122
151López,JoaquínMaría122121012121010824
152LópezContreras,Eleazar1088119911881089
153LópezObrador,AM33210331023363
154LópezPortillo,José1212121123444351
155Loubet,Emille177775666547
156Lübke,Heinrich32811221182382
157LulaDaSilva,L.I.555542522524
158Lusinchi,Jaime1012531435121088
159Mackay,Aeneas5555455442510
160MacMahon,PatriceMaurice1110107337101011610
161Madero,FranciscoI111910102109188
162Magsaysay,Ramón1232372992732
163Malachowski,Stanislaw65512651211112211
164Mandela,Nelson899811791289711
165Mattarella,Sergio117988971110101110
166McDonald,Ramsey91099101268861210
167MedinaAngarita,Isaias983668667889
168MendèsFrance,Pierre89109911984121212
169Miller,Leszek666664667555
170Millerand,Alaxandre6581012121085696
171Mitterrand,F.12123111193312231
172MongeÁlvarez,LuisAlberto10839810897798
173Monti,Mario412177121544
174Morales,Evo1112119118111191112
175Mulroney,Brian245423355532
176Mussolini,Benito898989998998
177Napolitano,Giorgio415127555711
178Negrín,Juan99312328223123
179Nehru,Jawaharlal443362263341
180Neves,Tancredo3941111211493
181Nixon,Richard574599547565
182Obama,BarackH.12166757788112
183OduberQuirós,Daniel1010101098106101089
184Orban,Viktor811755711881298
185Painlevé,Paul11121211122122212
186Paksas,Rolandas1133135566611
187Palme,Olof2125222222552
188Paniagua,Valentín14419111111111119
189PassosCoello,Pedro998668991141111
190Pavan,Mario2241112121142232
191Pella,Giuseppe112166112112111111
192Perón,JuanDomingo11111191111551111109
193Pétain,Philippe373104451541010
194Philippe,Èdouard12661011111121111010
195Pinochet,Augusto627733223377
196Piñera,Sebastián4111111411166113
197Poincaré,Raymond771777977177
198Pompidou,Georges12121941010491124
199PrimIPrats,Juan321441232132
200PrimoDeRivera,Miguel372733434344
201Prodi,Romano441888688113
202Puigdemont,Carles53127667123565
203Pujol,Jordi252883523101010
204Rajoy,Mariano121211109126662129
205Robespierre,Maximilien1724223271011
206Rod.-Zapatero,JL111225666511126
207Roosevelt,Franklin D.661099991066116
208Ruiz-Gallardón,A.12111261111116
209Sagasta,PráxedesMateo121211112111111112114
210Salmond,Alexander10777515551107
211Salvini,Matteo348843557555
212Sánchez,Pedro1212661212192229
213Sarkozy,Nicolas548103101084555
214Sarney,José111111111299211
215Scalfaro,OscarLuigi11113111110331121212
216Schroeder,Gerhard910881095712675
217Schwarzeneg.,A.7221125222511
218Poullet,Prosper11010101110666101010
219Smith,IanDouglas810101056595565
220Soares,Mario1212676106666106
221PradoUgarteche,Manuel89951212599859
222Spencer,Perceval376733227222
223Sturgeon,Nicola10127712101110491011
224ReinaIdiáquez,CarlosRoberto10111121211110118811
225Thatcher,Margaret11313111121291222
226Trudeau,Justin44681010448695
227Trudeau,Pierre121211121211121221112
228Truman,Harry101110991011109289
229Tsipras,Alexis26642211222115
230Valls,Manuel14871212784111
231VanDerLinden,PietrCort636844424488
232Varadkar,Leo898211292122
233VonPapen,Franz178828821111
234Prüm,Pierre5112124111452
235Washington,George1111991111761212127
236Weinberger,Caspar686899999986
237Wilson,Harold1212111110311111112
238Worme,ElieAndré87115511787677
239Wyninckx,Jef12746696476612
240Yanukovych,Viktor91612126191081010

Que resumimos:

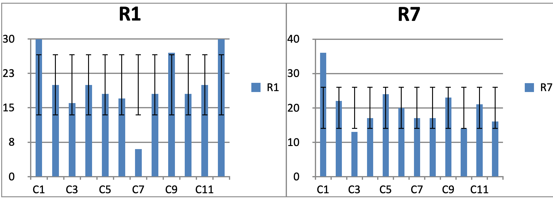
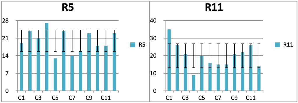
CASAR1R2R3R4R5R6R7R8R9R10R11R12
C1304129271926362728343519
C2201220202422223328242625
C3161725192126131721182115
C420161618272217202520921
C5181919131316242323182023
C6171822172410202017221620
C76169171416171220151514
C8181623201620172119181517
C9272323232316232216182127
C10182012261815141712162215
C11201726241828211317222624
C12302516162323161514151420

El R1 se sitúa preferentemente en el AS (1,5Sigma) y estará domiciliado en esos casos “dominado por sí mismo”. Más llamativa es la baja incidencia del R1 en C7 –lo que supondría estar en el signo de su exilio según el cómputo de signos enteros que hemos aplicado; lógicamente un líder no puede estar en manos de su rival (la C7 es el dominio del R7), su enemigo o su aliado.

Correspondientemente el R7 se encuentra muy a menudo en C1, exiliado –rivales débiles, el rival en manos del sujeto- algo muy importante en la competencia por sobresalir como líder. No se obtiene una desviación negativa porque a veces los rivales sí son fuertes.

Por lo tanto, en tanto que el R1 no se suele situar en C7, sí lo suele hacer el R7 en C1

 El R1 también se sitúa a menudo en C12, cosa nada sorprendente porque hay muchos políticos que sí se interesan por el colectivo de desconocidos, el censo, el conjunto de la ciudadanía, no sólo por su partido o por sus votantes. 

En el estudio anterior obteníamos una incidencia más elevada en la C9 –la ideología- pero podemos pensar que habíamos considerado muchos líderes ideológicos, la mayoría de los cuales han sido eliminados por ser registros de baja fiabilidad y substituidos en la mayoría de los casos por máximos mandatarios, que acaso sean más “elásticos” ideológicamente.

La baja incidencia del regente del AS en la casa 7 es muy significativa. Según la tradición, cuando el regente del AS se encuentra en la casa 7, según nuestro cómputo de signos completos, en la práctica totalidad de los casos se tratará de un regente de AS exiliado, débil, lo que daría debilidad ante rivales, enemigos y en las alianzas. Esto evidentemente supondría un gran fracaso en el liderazgo. Los pocos casos que se dan tienen poderosos factores de compensación o efectivamente han conducido a sonoros fracasos. Sin embargo se puede observar que es mucho más frecuente un regente de AS en el AS, que indicaría iniciativas de logro.

El regente de casa 7 es muy significativo y confirma el famoso aforismo del Libro Conplido que se intuye en el párrafo anterior. De manera recíproca a lo dicho del reg de AS, cuando el regente del DS se encuentra en el AS “el poder está en manos del nativo” lo que indica “victoria sobre los enemigos”. En este gráfico vemos también de manera recíproca, la más baja incidencia del regente de 7 en 7 y la más alta en el AS.

La alta incidencia del regente de casa 2 en el AS indica los condicionantes económicos para tomar una decisión. A menudo se dice que la economía –financiación- es lo que más influye en las decisiones de políticos y gobernantes.

El gráfico del regente de la casa 8 (=la gestión del dinero compartido) da la más alta incidencia en la casa 2 (=la gestión de los recursos propios). Parece un resultado congruente también con un estudio que se refiriera a banqueros, negociantes, tratantes, etc.

El regente de la casa 3 indicaría en qué influye más lo que se afirma. Es la oratoria política. También parece congruente con los resultados obtenidos.

Más significativo aún nos parece el hecho de que el regente de la casa 9 tenga su mayor incidencia en el AS, es decir, la influencia de las ideas (ideología) en las decisiones que se toman. La incidencia del R9 en la C2 puede tener relación con la ideología de la gestión de los recursos.

La alta incidencia del R4 en C1 y C10, explicaría posiciones profesionales heredadas, y ciertamente hay verdaderas sagas políticas.

El gráfico del regente del MC parece ofrecer también resultados congruentes, pero que no deben ser muy diferentes de las de otros profesionales de éxito (regente de MC en AS=en las decisiones que se toman).

La casa 5 nos hablaría de la relación con los acólitos, seguidores y admiradores, algo que es muy importante para un político (votantes). No parecen tener mucha influencia en las decisiones que se toman, a diferencia del R11.

Y la casa 11 (=relación con el grupo de afinidad, el partido político) muestra un regente con alta incidencia del partido en las decisiones que se toman (AS).

El regente de la casa 6 parece dar la mayor incidencia en la casa 11 indicando que la productividad se orienta al partido político, al grupo. En tanto que da una baja incidencia en la casa 6, que sería su domicilio, lo que indicaría subordinados fuertes.

El regente de la casa 12 (la conciencia de lo colectivo) da la más alta incidencia en la casa 9, indicando la influencia de los ciudadanos en las ideas

CONCLUSIONES

1.-Los resultados obtenidos indican una total congruencia de la tradición astrológica con la realidad que manifiesta el muestreo considerado.

2.-Las mayores incidencias en los muestreos más significativos se dan con los 7 planetas clásicos, especialmente si se consideran como regentes únicos de las casas (confirmando el estudio anterior).

2Sigma o más 

-lo dan Sol, Mercurio, Marte y Júpiter (los masculinos) en el AS, 

-el R7 en C1, R10 en C1, R11 en C1, R2 en C1, R8 en C2

-2Sigma o menos 

R1 en C7

3.-Los resultados parecen favorables a considerar una casa como todo el signo en el que se halla una cúspide de una casa. En todo caso es muy difícil procesar estadísticamente casas de tamaño variable.

REFLEXIÓN

El nuevo cómputo aplicado que elimina algunas ambigüedades no ha producido variaciones significativas en los resultados (algo que esperábamos) respecto al trabajo anterior. Las discrepancias sobre la posición de un planeta en una casa o la siguiente han impedido la realización de estudios estadísticos serios aplicados a la astrología y dificultado seriamente la aceptación de la astrología por la comunidad científica.

Sergio Rivillo, 13/FEB/2016

Sergio.rivillo@gmail.com 

http://www.astralis.es  

Errores muestrales (banda de incertidumbre)

Muestra (tamaño)NC 95%NC 97%
1.2002,83,1
4004,95,4
2006,97,7
1009,810,9
5013,915,3

NC=nivel de confianza ; (fuente: http://es.ncalculators.com/statistics/standard-deviation-calculadora.htm

El nivel de confianza (NC) es la probabilidad a priori de que el intervalo de confianza a calcular contenga al verdadero valor del parámetro. Un NC del 95% indica que en el 95% de los muestreos daría el mismo valor del parámetro considerado (o estaría dentro de la banda de incertidumbre).

Como vemos, el muestreo anterior de 100 individuos era un mínimo aceptable. Con 50 casos el estudio habría sido de muy escasa validez estadística. Es deseable un estudio con 200 ó mucho mejor 400 individuos, que probablemente sea realidad en un próximo futuro. Ahora ya hemos llegado a 240.

En el estudio anterior (100 casos), la banda de incertidumbre abarcaba un +/-10% de los 8,33 casos (por signo o casa) esperados

En este estudio (240 casos), la banda de incertidumbre abarca poco más del +/-7% de los 20 casos esperados.

Es decir, que las desviaciones en las gráficas obtenidas son mucho más significativas

3 Comentarios

Deja un comentario

Este sitio utiliza Akismet para reducir el spam. Conoce cómo se procesan los datos de tus comentarios.